+86-20-3855-1181 Nombre Parcourir:0 auteur:Éditeur du site publier Temps: 2025-11-24 origine:Propulsé
Les principales manifestations de l’inflammation cutanée sont les cinq signes clés : rougeur, gonflement, chaleur, douleur et démangeaisons.
Symptômes de base : Rougeur, gonflement, chaleur, accompagnés de sensations de picotement ou de brûlure dans certains cas.
Démangeaisons : varient de légères à sévères, laissant souvent des rayures.
Anomalies cutanées : Sécheresse et desquamation, papules, cloques ; dans les cas graves, suintement, croûtes, érosion et même ulcération.
Une gestion efficace de l’inflammation améliore non seulement les problèmes cutanés actuels, mais constitue également la clé pour prévenir les problèmes futurs et retarder le vieillissement cutané. En comprenant les causes et les manifestations de l’inflammation, nous pouvons faire des choix plus ciblés d’ingrédients de soins de la peau et de modes de vie afin de protéger la santé de la peau à sa source.
En cas de rougeur ou de picotement soudain, une intervention apaisante rapide est essentielle. Choisissez des produits de soin axés sur les effets anti-inflammatoires et calmants pour cibler l'inconfort et atténuer rapidement la réponse au stress de la peau.
L'inflammation endommage la barrière protectrice naturelle de la peau, entraînant une réduction de la capacité de rétention de l'humidité. Utilisez des produits dédiés à la réparation de la barrière pour aider à reconstruire la couche protectrice de la peau et restaurer sa capacité à résister aux irritants externes.
L’anti-inflammation n’est pas une solution temporaire mais nécessite des soins quotidiens constants. Optez pour des produits de soin doux et non irritants, associés à un programme régulier et à une alimentation saine, pour maintenir un état de peau stable de l’intérieur.
Une lutte anti-inflammatoire efficace repose sur la coordination d’effets multidimensionnels. Sélectionnez des produits offrant les avantages trois-en-un d’anti-inflammation, d’hydratation et de réparation pour créer un système de protection complet, réduisant fondamentalement l’inflammation récurrente.
Pour résoudre le problème de l’inflammation, nous introduisons aujourd’hui un ingrédient anti-inflammatoire véritablement efficace : le Hony D001. Il peut apaiser l’inflammation cutanée, aider à améliorer les rougeurs, les picotements et autres problèmes de sensibilité, et restaurer la peau dans un état sain.
Explorons ensuite les effets exceptionnels de cet ingrédient star !


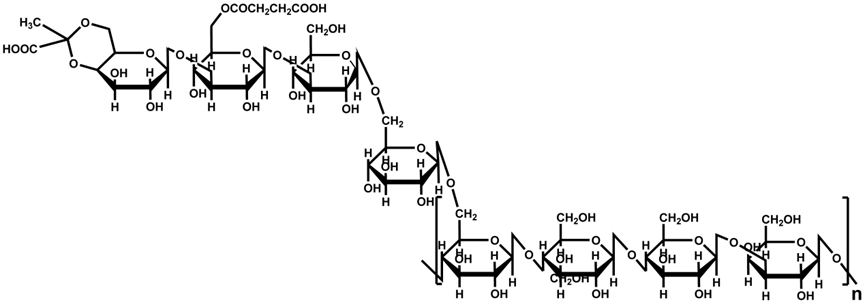
Hony D001 est dérivé de polysaccharides naturels, une classe de polymères biomacromoléculaires de structure très diversifiée. Les polysaccharides sont précisément liés par des unités monosaccharides via des liaisons glycosidiques, et certains peuvent en outre se lier à des peptides, des acides aminés ou des lipides pour former des combinaisons complexes de résidus de sucre, établissant ainsi une base solide pour leur excellente activité biologique.
Origine naturelle, bonne compatibilité cutanée
Produit par fermentation industrielle, avec une qualité contrôlable
Fonctions diversifiées, effets remarquables
Mécanisme d’action clair
Excellente compatibilité avec d'autres matières premières
Haute sécurité biologique
Qu'il s'agisse d'irritations environnementales ou de dommages cutanés, le Hony D001 peut exercer de manière ciblée des effets anti-inflammatoires et réparateurs, répondant ainsi à divers besoins quotidiens en matière de soins de la peau.
Le rayonnement ultraviolet (UV) peut déclencher un érythème cutané, un épaississement de l'épiderme et une perte de collagène. Hony D001 atténue les réactions liées aux coups de soleil grâce à son activité anti-inflammatoire, tout en réduisant la production de mélanine pour soulager la matité et les rougeurs post-solaires.
Pour les problèmes cutanés liés à l’inflammation tels que la dermatite atopique, il réduit les niveaux de facteurs inflammatoires cutanés, améliore la fonction barrière et réduit l’inconfort comme l’enflure et les démangeaisons. Une utilisation à long terme peut réduire la sensibilité cutanée.
Pendant le processus de cicatrisation des plaies, son effet anti-inflammatoire minimise l’interférence de l’inflammation sur la réparation des tissus. Parallèlement, combiné à ses propriétés hydratantes, il crée un environnement favorable à la réparation cutanée et accélère la récupération des peaux endommagées.
Hony D001 réduit la réponse inflammatoire des cellules de la peau.
Hony D001 inhibe la réponse inflammatoire des macrophages.
Hony D001 présente le double avantage d'une sécurité élevée et d'une efficacité anti-inflammatoire remarquable. Dans les applications de soins de la peau, il peut apaiser efficacement l’inflammation cutanée sans causer de dommages aux cellules, ce qui en fait un ingrédient fonctionnel idéal pour les soins de la peau.
Les données expérimentales confirment que le Hony D001 peut pénétrer rapidement dans les couches profondes de la peau, apaisant simultanément de multiples symptômes inflammatoires tels que les rougeurs, les gonflements et les picotements, offrant ainsi une solution réparatrice scientifique et efficace pour les peaux sensibles.
Nettoyant pour le visage : nettoyage doux pour prévenir les rougeurs après le nettoyage
Essence : Apaisant ciblé pour réduire rapidement les rougeurs
Masque facial : Réparation intensive pour améliorer la fonction barrière cutanée
Crème Visage : Hydratation longue durée pour construire un réseau protecteur
Shampoing : apaise l’inflammation du cuir chevelu et améliore l’environnement des follicules pileux
Gel douche : Soulage l'acné corporelle et les problèmes de sensibilité
Lotion pour le corps : Répare la barrière cutanée et procure une hydratation longue durée
【Expérience】 De nouveaux produits avec Hony D001 sont maintenant disponibles !
【Contactez-nous】 Obtenez des connaissances plus professionnelles sur les produits !
Maison | À propos de nous | Des produits | Innovation | Soutien | Nouvelles | Contact